Maxwell equations Based important short notes and formula

Maxwell equations Based all basic important short notes 


TO understand Maxwell equations, first know the some symbol meanings which is used -

*Differential operator  formula is:-
* Vector field Divergence is:-
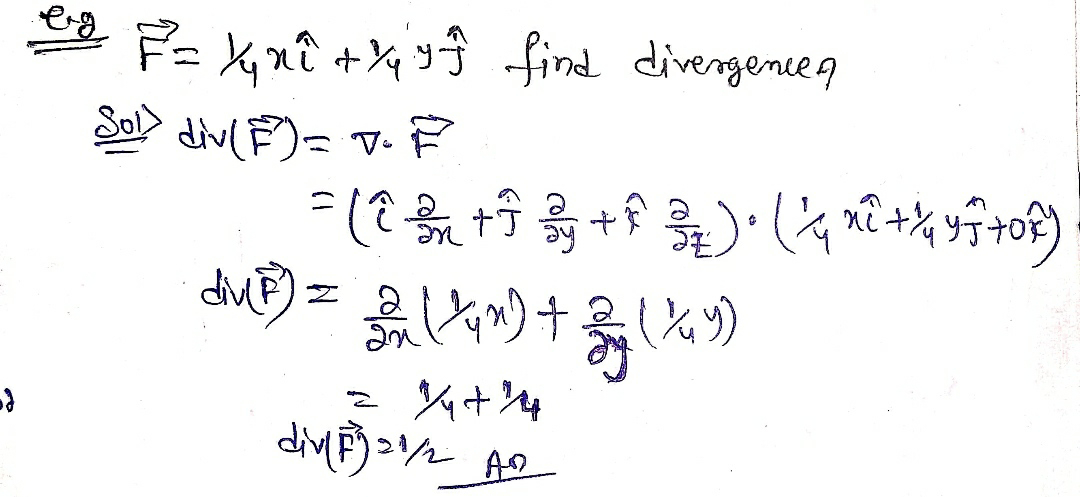
*How to find divergence of any vector is?
# two basic identity:-

Maxwell equations in differential form-

(1) Divergence of E equal to row by epsilon.(based on GAUSS'S law for Electrostatic)

(2) Divergence of B is equal to zero (GAUSS'S law for magnetistatic)

(3) Curl of E equal to minus of delB by  delt (Faraday law of electro magnetic induction)
(4) Curl of H equal to J + delD by delt . (Amperes circuital law in Modified form)

 MAXWELL EQUATIONS In Integral From:-

Maxwell equations in FREE SPACE:-
In free space conductivity, current density and charge density is zero.

#some important formula's:-

(1)  GAUSS'S divergence theorem Formula is:-

(2) Poisson's equation:- This equation gives the value of potential.

(3) Laplace equations:-

SOME IMPORTANT notes :-

(1) Amperes circuital law is applicable when the current density is  SOLENOIDAL

(2) Work done by Lorentz force 'F' on Charge particle is equal to zero

(3) equations of continuity in steady charge distribution is divergence of 'J' is equal to zero.

(4) total charge in a system is conserved then divergence of 'J'  is equal to -delP/delt.

(5) In conservative field, the line integral is independent of path and curl is zero.

(6) The divergence of curl of a vector is always zero.

(7) vector field is called irrotational if curl of a vector is zero.

(8) the vector 'A' is SOLENOIDAL if divergence of 'A' vector is zero.

(9) in Maxwell second equation (divergence of B is zero) there is magnetic monopole can't exist.

(10) Net surface integral of the vector field pet unit volume is called divergence.

(11)  Two vector divergence is scalars .

(12) Curl of two vector is vector.

(13) scalar magnetic potential exist when value of current density (J vector)  is zero.

(14) vector magnetic potential exist when current density (J vector)  is not zero.

(15) vector magnetic potential curl gives magnetic flux density.

(16) Relation between scalar magnetic potential and vector magnetic potential (A vector) is-



 
I provide all important short notes and formula on basis of Maxwell equations. 




Rahul Shaw

Author & Editor

If you want to give any suggestion about content or answer of any question, please comment in comment box.

0 comments:

Post a Comment